This article was originally featured on Knowable Magazine.
In the summers of 2018 and 2019, ecologist James Ryalls and his colleagues would go out to a field near Reading in southern England to stare at the insects buzzing around black mustard plants. Each time a bee, hoverfly, moth, butterfly or other insect tried to get at the pollen or nectar in the small yellow flowers, they’d make a note.
It was part of an unusual experiment. Some patches of mustard plants were surrounded by pipes that released ozone and nitrogen oxides — polluting gases produced around power plants and conventional cars. Other plots had pipes releasing normal air.
The results startled the scientists. Plants smothered by pollutants were visited by up to 70 percent fewer insects overall, and their flowers received 90 percent fewer visits compared with those in unpolluted plots. The concentrations of pollutants were well below what US regulators consider safe. “We didn’t expect it to be quite as dramatic as that,” says study coauthor Robbie Girling, an entomologist at the University of Southern Queensland in Australia and a visiting professor at the University of Reading.

A growing body of research suggests that pollution can disrupt insect attraction to plants — at a time when many insect populations are already suffering deep declines due to agricultural chemicals, habitat loss and climate change. Around 75 percent of wild flowering plants and around 35 percent of food crops rely on animals to move pollen around, so that plants can fertilize one another and form seeds. Even the black mustard plants used in the experiment, which can self-fertilize, exhibited a drop of 14 percent to 31 percent in successful pollination as measured by the number of seedpods, seeds per pod and seedpod weight from plants engulfed by dirty air.
Scientists are still working out how strong and widespread these effects of pollution are, and how they operate. They’re learning that pollution may have a surprising diversity of effects, from changing the scents that draw insects to flowers to warping the creatures’ ability to smell, learn and remember.
This research is still young, says Jeff Riffell, a neuroscientist at the University of Washington. “We’re only touching the tip of the iceberg, if you will, in terms of how these effects are influencing these pollinators.”
Altered scents
Insects often rely on smell to get around. As they buzz about in their neighborhoods, they learn to associate flowers that are good sources of nectar and pollen with their scents. Although some species, like honeybees, also use directions from their hive mates and visual landmarks like trees to navigate, even they critically depend on the sense of smell for sniffing out favorite flowers from afar. Nocturnal pollinators such as moths are particularly talented smellers. “They can smell these patches of flowers from a kilometer away,” Riffell says.
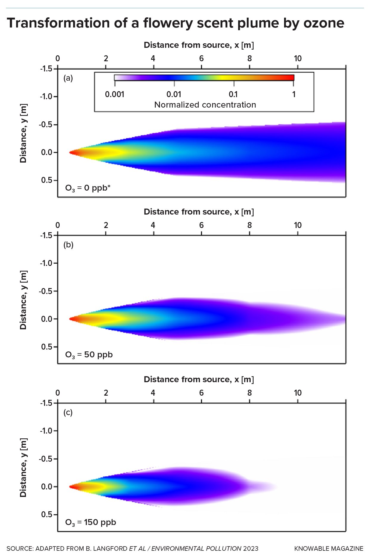
One of the effects of pollution — and what Girling suspects was largely responsible for the pollination declines at the England site — is how it perturbs these flowery aromas. Each fragrance is a unique blend of dozens of compounds that are chemically reactive and degrade in the air. Gases such as ozone or nitrogen oxide will quickly react with these molecules and cause odors to vanish even faster than usual. “For very reactive scents, the plume can only travel a third of the distance than it should actually travel when there is no pollution,” says atmospheric scientist Jose D. Fuentes of Penn State University who has simulated the influence of ozone on floral scent compounds.
And if some compounds degrade faster than others, the bouquet of scents that insects associate with particular plants transforms, potentially rendering them unrecognizable. Girling and his colleagues observed this in experiments in a wind tunnel into which they delivered ozone. The tunnel was also outfitted with a device that steadily released a synthetic blend of floral odors (an actual flower would have wilted, says coauthor Ben Langford, an atmospheric chemist at the UK Centre for Ecology & Hydrology). Using chemical detectors, the team watched the flowery scent plume shorten and narrow as ozone ate away at the edges, with some compounds dropping off entirely as others persisted.

The scientists had trained honeybees to detect the original flowery scent by exposing them to the odor, then giving them sugar water — until they automatically stuck out their tongue-like proboscises to taste it upon smelling the scent. But when bees were tested with ozonated odor representing the edges of the scent plume, either 6 or 12 meters away from the source, only 32 percent and 10 percent, respectively, stuck out their proboscises. The bee is “sniffing a completely different odor at that point,” Langford says.
Researchers also have observed that striped cucumber beetles and buff-tailed bumblebees struggle to recognize their host plants above certain levels of ozone. Some of the most dramatic observations are at night, when extremely reactive pollutants called nitrate radicals accumulate. Riffell and colleagues recently found that about 50 percent fewer tobacco hornworm moths were attracted to the pale evening primrose when the plant’s aroma was altered by these pollutants, and white-lined sphinx moths didn’t recognize the scent at all. This reduced the numbers of seeds and fruits by 28 percent, the team found in outdoor pollination experiments. “It’s having a really big effect on the plant’s ability to produce seeds,” Riffell says.

Clouding senses and minds
Can insects learn to recognize these transformed scents? For the insects to recognize new scents as rewarding, they need to smell them while they’re feeding on sweet nectar — but the problem is, a flower’s scent transforms only at some distance from the flower, Girling says. Perhaps some insects can learn to follow polluted scents as they approach a flower, but so far this has been shown only for the tobacco hawkmoth.
And pollution can also make it harder for insects to learn. In a 2019 study, Girling and colleagues first trained honeybees to recognize an odor using the sugar water-proboscis method. Then they exposed the bees to diesel exhaust. Later on, they tested the bees to see how many of them had retained their training and still reacted to the odor blend by sticking out their proboscises. Remarkably, 44 percent fewer honeybees were able to recall the scent 72 hours after diesel exposure compared with unexposed bees.
“It looks like they’re potentially not able to form those memories as well and hold onto those memories as well,” Girling says. The reason is unclear; perhaps the gas somehow causes physiological stress in the bees’ brains that leads to neurological impediments. This could hypothetically mean that in polluted air, bees may forget the original scents of flowers — or forget the polluted aromas if they do manage to learn those.
Dirty air could even affect insects’ sense of smell. A few years ago, chemical ecologist Magali Proffit of the French Center for Functional and Evolutionary Ecology and her team hooked up electrodes to the antennae of buff-tailed honeybees and fig wasps. They found that exposing the insects to ozone often made these odor-sensing organs much less responsive to smells. Bees and wasps exposed to moderate levels of ozone moved around aimlessly rather than toward the odors of their host plants.
At high ozone levels, fig wasps even avoided the odor. “Something is happening in their olfactory system,” Proffit says.

Open questions
Air pollutants also have an influence when plants absorb them, says ecologist Laura Duque at the University of Würzburg in Germany: They can change plant metabolism and thus alter the blend of odor compounds that flowers emit. Depending on the species, ozone can increase or decrease flower numbers and possibly the quality and quantity of nectar or pollen. Ozone can also influence the timing of flowering, Duque says. “It’s possible that there is no plant reproduction at all if there’s a complete mismatch between flowering and insect activity.”
It’s hard to assess the magnitude of these effects on plant pollination, says urban insect ecologist Elsa Youngsteadt of North Carolina State University, who coauthored a 2023 paper on pollination in cities in the Annual Review of Ecology, Evolution, and Systematics. Only a few studies — including Girling’s study in the UK and Riffell’s on moths — have quantified the effects.
In general, one would expect impacts to be greatest in cities, which have borne the brunt of pollution since industrial times — although this might also have led to adaptations, Youngsteadt says. Studies of non-urban plants and insects “might be giving a different picture than if we studied the plants and insect populations that have already been exposed to urban pollutants for hundreds of years.”
Also unclear is the impact of pollution on insects. When insects fail to detect flowers, they miss a chance to get nectar or pollen for themselves, their young or their hives. They must travel farther in search of flowery scents, sapping their energy, Fuentes says.
And the transformation of flower scents may just be one factor among many. Pollution particles can interfere with the ability of houseflies to smell food, for example, and ozone changes the pheromones of male flies so they smell more like females, causing males to chase other males.
Pollution can also more generally affect insect reproduction and survival; putting all these impacts together, a recent study estimates that air pollution causes a more than 30 percent reduction in pollinator performance. Scientists need more research on different species, on their sensitivity to pollution and their interactions with plants — especially in understudied regions like the Global South.
From agricultural chemicals to climate change, “we’ve got all of these other factors that are chipping away and reducing the fitness, making it harder for these insects to go through their normal life cycles and normal processes,” Girling says. “If you then make it just a little bit harder to find a flower, is that the tipping point that pushes that particular insect or hive over the edge?”
This article originally appeared in Knowable Magazine, an independent journalistic endeavor from Annual Reviews. Sign up for the newsletter.