Want people to notice your climate research? Learn how to write.

Research with a narrative is shared more widely
Book
Pexels
book
Pexels

Pretend for a moment you are a climate scientist, or maybe a layperson curious about climate change research. Which of the following intro sentences would prompt you to keep reading a study?

This?

Empirical critical loads for N deposition effects and maps showing areas projected to be in exceedance of the critical load (CL) are given for seven major vegetation types in California.

Or this?

The capture of carbon dioxide at the point of emission from coal- or gas-burning power plants is an attractive route to reducing carbon dioxide emissions into the atmosphere.

Unless you already know what “N deposition effects” are (nitrogen deposits from human activities that threaten plant diversity), you’d probably be more inclined to stick with the second one. The writing is clear, simple, and to the point—unlike the first, which is dense, weighty and, for some readers, might require some additional explanation.

These are actual examples of the opening sentences of climate change research abstracts that were published in well-regarded scientific journals (Journal of Environmental Management and Science, respectively) and were among those studied by researchers trying to determine whether good science writing can have more of an impact than the dull and expository.

Their study, published in the journal PLOS ONE, found that climate change papers written in a more narrative style — those that tell a story — were the most highly cited by other scientists, an important measure of their influence in the field.

Their findings support beliefs long-held in the humanities that narrative writing holds more power than expository writing, and that telling a story — rather than describing observations in an objective detached way — can improve communication, especially when it comes to climate change.

Lake Powell
Compelling research on climate change tells a story. See Lake Powell in March 1999 (left) and May 2014 (right). NASA

Nevertheless, the dry and cumbersome style still prevails within the vast majority of journal articles. Academic journals are notorious for publishing research findings written in stilted, eye-glazing fashion, often making them unpalatable to the public (and even to many scientists).

“It’s a vestige of 18th/19th-century views in which the scientist was merely an observer who did not influence the outcome of an experiment,” says Ryan Kelly, a co-author of the study and assistant professor in the University of Washington School of Marine and Environmental Affairs.

“Hence, ‘the experiment was done,’ rather than ‘I did the experiment,’” he adds. “The 20th century showed us that the experimenter and the experiment are inextricably intertwined, and — in my view — this should have killed off the older style of scientific writing. But science changes slowly.”

To be sure, “jargon has a function,” he says. “It’s shorthand, intelligible by the narrow target audience for which it is intended. The problem is that the narrow target audience probably is far narrower than the authors would like.”

The authors, who also included Annie Hillier, a recent graduate of the School of Marine and Environmental Affairs, and Terrie Klinger, the school’s director, examined abstracts from more than 700 scientific papers about climate change, focusing on writing style rather than scientific content.

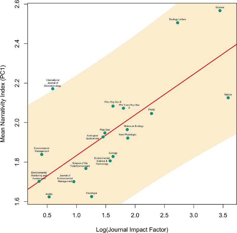
graph
Research that tells a story is more likely to be published in a prestigious journal. Hillier, Kelly & Klinger, 2016

They used a crowdsourcing website to evaluate the narrative components of the articles, asking participants a series of questions about each abstract to gauge whether papers took a narrative approach, such as having language that was attractive to the senses and emotions.

Papers that were cited most by other scientists were those incorporating sensory language as well as those that described cause-and-effect and made a direct appeal to readers to engage in specific follow-up behavior. “The results were especially surprising given that we often think of scientific influence as being driven by science itself, rather than the form in which it is presented,” Hillier says.

In another surprise, the researchers also found that the highest-rated journals tended to feature articles with more narrative content. “We don’t know if the really top journals pick the most readable articles, and that’s why those articles are more influential, or if the more narrative papers would be influential no matter what journal they are in,” Kelly says.

The study already has received considerable attention, although not from traditional media. Rather, there has been “a ton of Twitter posts from scientists, which is remarkable in my experience of academic publishing,” Kelly says. “So, I suppose it remains to be seen what the more formal reaction is… but we certainly seem to have struck a chord within the community of scientists who have been told that communication style matters, but who wanted some data to test that idea.”

These include tweets from Jane Lubchenco, former head of the National Oceanic and Atmospheric Administration, and marine ecologist Andrew Thaler.

The reaction has extended beyond the borders of science, Kelly said. “I’ve seen at least one blog post for trial lawyers, for example,” he says.

Kelly acknowledges that he and his co-authors strived to make their own study readable, but admitted that, paradoxically, they were bound by many of the restraints they were seeking to challenge.

“Obviously we were aware that we were writing a paper about writing, and so it needed to be good and clear, and that sentences flowed logically into one another,” he says. Still, “we were aiming for a peer-reviewed scientific publication, and so we did have to write the piece accordingly. As I say, science changes slowly.

“If we had started the piece with ‘it was a dark and stormy night,’ we wouldn’t have even gotten to peer review, probably,” he adds. Although, “it was a dark and stormy night“ — the opening lines of an 1830 novel by Englishman Edward Bulwer-Lytton — is a phrase now synonymous with florid, overly melodramatic writing.

“That said, Annie did, in fact, start her masters’ presentation with the phrase ‘it was a dark and stormy night’ and it totally captured the audience,” Kelly says. “I wish we could’ve written it up that way, but we didn’t feel we could get away with it.”

Marlene Cimons writes for Nexus Media, a syndicated newswire covering climate, energy, policy, art and culture.

 
products on a page that says best of what's new 2025

2025 PopSci Best of What’s New